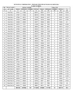
पिंपरी (Pclive7.com) : पिंपरी-चिंचवड महापालिका निवडणुकीसाठी दुपारी ३.३० वाजेपर्यंत शहरात एकूण ४०.५ टक्के मतदान झाल्याची माहिती निवडणूक प्रशासनाकडून देण्यात आली आहे. प्रशासनाकडून मिळालेल्या माहितीनुसार, एकूण ६ लाख ९४ हजार १७८ मतदारांनी आपला मतदानाचा हक्क बजावला आहे. यामध्ये ३ लाख ७६ हजार ९६९ पुरुष, ३ लाख १७ हजार १९९ महिला आणि १० इतर मतदारांचा समावेश आहे.

पिंपरी-चिंचवड महापालिका क्षेत्रातील एकूण मतदार संख्या १७ लाख १३ हजार ८९१ इतकी असून त्यामध्ये ९ लाख ५ हजार ७२८ पुरुष, ८ लाख ७ हजार ९६६ महिला आणि १९७ इतर मतदारांचा समावेश आहे.

दरम्यान, शहरातील अनेक मतदान केंद्रांवर काही काळासाठी मतदान यंत्रे (ईव्हीएम) बंद पडल्याच्या घटना घडल्या. त्यामुळे काही ठिकाणी मतदारांना प्रतीक्षा करावी लागली. काही ठिकाणी बॉस मतदान झाल्याच्याही तक्रारी आल्या होत्या. मात्र, निवडणूक प्रशासनाने तात्काळ उपाययोजना करत मतदान प्रक्रिया सुरळीत सुरू ठेवण्याचे प्रयत्न केले.























Join Our Whatsapp Group